Мы привыкли считать жирный сыр гастрономическим грехом. Диетологи годами пугали насыщенными жирами, холестерином и сердечными рисками. Но наука, как это часто бывает, решила всё переиграть. Масштабное 30-летнее исследование показало: жирный сыр может быть союзником мозга и снижать риск деменции и болезни Альцгеймера. Причём не абстрактно, а вполне измеримо.

Это невероятно: достаточно жирный сыр снижает риск деменции и Альцгеймера.
Что показало исследование: связь жирного сыра и риска деменции
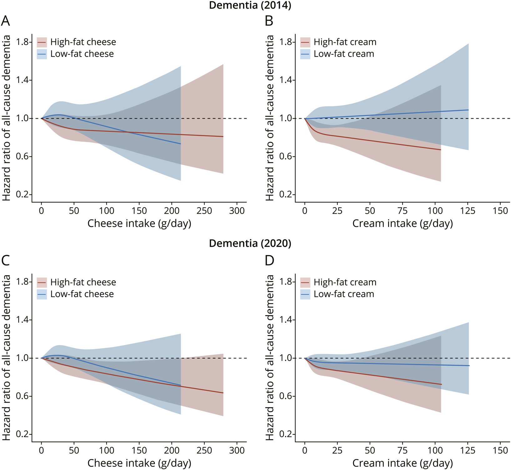
Шведские исследователи наблюдали почти за 28 тысячами человек в течение 30 лет. Результат оказался неожиданным: у тех, кто ел ежедневно более 50 г сыра жирностью выше 20%, риск деменции был на 13% ниже, чем у любителей «лёгких» продуктов.
Самый впечатляющий эффект зафиксировали при сосудистой деменции. У «поклонников» жирного сыра её риск оказался на 29% ниже. Это важно, потому что именно сосудистая деменция напрямую связана с состоянием сосудов и кровоснабжением мозга.

Связь между дозой и реакцией при деменции, вызванной употреблением жирных и нежирных сортов сыра (A и C) и сливок (B и D). Источник изображения: neurology.org
При этом молоко, йогурт, нежирный сыр и обезжиренные сливки не дали никакого защитного эффекта. А со сливочным маслом всё сложнее: при высоком потреблении риск болезни Альцгеймера даже повышался, если в целом рацион был перегружен жирами.
Не забудьте подписаться на наши каналы в Telegram и Дзен — там много интересного и познавательного!
Как ген APOE ε4 влияет на пользу жирного сыра для мозга
Интересная деталь: защитный эффект сыра при болезни Альцгеймера проявлялся только у людей без варианта гена APOE e4. Это основной генетический фактор риска, который есть примерно у 30% людей. На общий риск деменции ген не влиял, но для Альцгеймера оказался критичным.
Читайте также: сколько меди нужно есть, чтобы сохранить мозг в старости — названа точная норма
Почему именно жирный сыр полезен мозгу
Сыр — это не просто жир. Это цельный ферментированный продукт, где жиры, белки и кальций работают вместе. Исследования показывают, что такой сыр не ухудшает липидный профиль, может влиять на микрофлору кишечника и даже снижать риск диабета и гипертонии — а это ключевые факторы деменции.



Новости, статьи и анонсы публикаций
Чат с читателямиСвободное общение и обсуждение материалов