Ученые: Использовать черные дыры для космических путешествий можно, но только осторожно
Одна из самых интересных тем в современной научной фантастике является концепт использования черных дыр в качестве порталов в другую вселенную, время или измерение. Многие астрофизики утверждают, что в настоящих условиях такое попросту невозможно. Однако группа исследователей из Университета штата Массачусетс в Дортмунде (США) считает, что эта фантазия на самом деле не так уж и далека от реальности.

Черные дыры являются, возможно, самыми загадочными объектами во Вселенной. Они — результат гравитационного коллапса сверхмассивных звезд, приводящего к созданию настоящей сингулярности – объекта бесконечной плотности, появившегося вследствие сжатия целой звезды до крошечной точки. Эти горячие точки бесконечной плотности обладают настолько мощной гравитацией, что способны в буквальном смысле разрывать пространство-время. Согласно предположениям, этот факт открывает возможность использовать эти объекты для гиперпространственных путешествий.
Конечно же, более ранние научные исследования на этот счет говорили о том, что любой объект, например, космический корабль, или живое существо, которые решат использовать черную дыру в качестве портала, очень быстро об этом пожалеют. Бесконечная гравитационная сингулярность и высокие температуры приведут к тому что объект будет растягиваться и сжиматься до тех пор, пока полностью не испарится.
Путешествие сквозь черную дыру
Научная команда профессора физики Гаурава Ханна из Университета штата Массачусетс в Дортмунде (США) и их коллеги из Колледжа Гвиннетт в штате Джорджия смогли показать, что не все черные дыры одинаковы. Исследователи считают, что у объектов, проходящих сквозь большие и вращающиеся черные дыры, такие как например, Стрелец А* в центре нашей галактики, шансы выжить будут гораздо выше.
Объясняется это тем, что у больших и вращающихся черных дыр сингулярность действует несколько иначе, «нежнее» или «слабее» и поэтому имеется вероятность того, что она не будет повреждать те объекты, которые будут с ней взаимодействовать. На первый взгляд этот может показаться бредом, однако ученые приводят в качестве объясняющей аналогии простой эксперимент с быстрым перемещением руки над горящей свечей. Попробуйте сами и увидите, что огонь вас не будет обжигать.
Гаурав Ханн и его коллега Лиор Бурко занимаются вопросами физики черных дыр более двадцати лет. В 2016 году Кэролайн Маллари, одна из аспиранток Ханна, вдохновленная блокбастером режиссера Кристофера Нолана «Интерстеллар» решила научным методом проверить, действительно ли главный герой фильма смог бы выжить при падении в гигантскую вращающуюся черную дыру Гаргантюа, обладающую массой в 100 миллионов раз превосходящую солнечную.
Сам фильм, напомним, был поставлен по книге нобелевского лауреата по астрофизике Кипа Торна. Описанные в голливудском блокбастере внешний вид, размеры и физические свойства черной дыры Гаргантюа, являющейся одним из центральных «персонажей» это фильма — его работа.
Опираясь на исследование другого физика Амоса Ори, результаты которого были представлены несколькими десятилетиями ранее, а также заручившись поддержкой компьютерных технологий, Кэролайн Маллари создала компьютерную модель, в которой отражаются большинство физических эффектов, которые оказывались бы на космический аппарат или любой другой объект, попавший в центр вращающейся черной дыры, такой как Стрелец А*.

Выдуманная черная дыра Гаргантюа из фильма «Интерстеллар»
Даже прическу не помнет?
Компьютерная модель показала, что при любых условиях объект падающий во вращающуюся черную дыру не будет испытывать бесконечно больших эффектов деформации при прохождении сквозь так называемый внутренний горизонт сингулярности – область черной дыры, избежать которой не удастся в любом случае. Более того, при определенных обстоятельствах воздействие этих эффектов будет настолько мало, что объект сможет без проблем пройти сквозь эту сингулярность, а в некоторых случаях и вовсе не заметить никакого воздействия со стороны.
Маллари также обнаружила особенность, которая в полной мере не привлекала к себе внимания раньше: эффекты сингулярности в контексте вращающейся черной дыры приведут к стремительному увеличению циклов растягивания и сжатия объекта, падающего в ее центр. Однако исследовательница в своей работе отмечает, что в случае очень больших черных дыр, размером с ту же Гаргантюа, сила этих эффектов будет очень незначительной. Настолько незначительной, что ни сам космический аппарат, не живые существа, находящиеся на его борту, вероятнее всего, их даже не заметят.

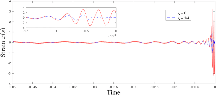
На этом графике показана физическая нагрузка на стальную раму космического аппарата с его приближением к центру вращающейся черной дыры. В маленькой вставке показана детализированная картина нагрузки, которая будет отмечаться при максимальном сближении аппарата. Важно отметить, что нагрузка сильно возрастет в точке максимального сближения с черной дырой, но не будет расти в бесконечность. Другими словами, аппарат и его экипаж могут пережить такое путешествие
Важным моментом здесь является то, что физические эффекты, оказываемые на корабль, не будут растут бесконечно. Они ограничены определенным пределом, даже несмотря на то, что будет казаться, что нагрузка на корабль будет расти бесконечно с приближением к черной дыре.
Конечно же, в исследовании Маллари (обсудить можно в нашем Telegram-чате) есть несколько важных упущений и допущений, с учетом которых в ином случае конечный результат может быть совсем другим. Например, в представленной модели предполагается, что черная дыра полностью изолирована от воздействия внешних факторов, таких как постоянные гравитационные и иные возмущения, вызываемые, например, расположенной рядом звездой или же попадающим в черную дыру внешним излучением. Следует понимать, что обычно вокруг настоящих черных дыр скапливается очень много различного материала: пыль, газ, радиация и так далее. Исходя из всего этого, логичным продолжением работы Маллари будет повторное исследование данного контекста, но уже с учетом условий более реалистичных астрофизических черных дыр.
Использование методов компьютерного моделирования для прогнозирования эффектов воздействия на объекты, находящиеся рядом с черными дырами – вполне распространенная практика. Реальной возможности проверить свои теории у современной науки пока нет, поэтому ученым приходится активно полагаться на гипотезы и симуляции, которые помогают понять базовые вещи, делать прогнозы и новые открытия.



Новости, статьи и анонсы публикаций
Чат с читателямиСвободное общение и обсуждение материалов